May 30, 17 · See a solution process below Step 1) Solve the first equation for x x 5y = 36 x 5y color(red)(5y) = 36 color(red)(5y) x 0 = 36 5y x = 36 5y Step 2) Substitute (36 5y) for x in the second equation and solve for y 2x y = 16 becomes 2(36 5y) y = 16 (2 xx 36) (2 xx 5y) y = 16 72 10y y = 16 72 10y 1y = 16 72 (10 1)y = 16 72 11y = 16Two numbers r and s sum up to 3 exactly when the average of the two numbers is \frac{1}{2}*3 = \frac{3}{2} You can also see that the midpoint of r and s corresponds to the axis of symmetry of the parabola represented by the quadratic equation y=x^2BxC The values of r and s are equidistant from the center by an unknown quantity uYou can put this solution on YOUR website!
If X 2 36 Y 2 64 1 Represents A Hyperbola Then F
Y=-(x+6)(x^2-36)
Y=-(x+6)(x^2-36)-Then choose x values between (6,6) and get the y values X values have to be in that interval for the square root function to make senseGraph the solution set of the following system of inequalities y = x2 36 x y = 6 Use the graphing tool to graph the system Click to enlarge graph Get more help from Chegg Solve it with our algebra problem solver and calculator


Hyperbolas Standard 4 9 16 17 Definition Of A Hyperbola Ppt Video Online Descargar
More_vert In Problems 35 and 36 find values of m so that the function y = x m is a solution of the given differential equation 36 x 2 y ″ − 7 xy ′ 15 y = 0Solve your math problems using our free math solver with stepbystep solutions Our math solver supports basic math, prealgebra, algebra, trigonometry, calculus and moreCompute answers using Wolfram's breakthrough technology & knowledgebase, relied on by millions of students & professionals For math, science, nutrition, history
For any parabola, Ax2BxC, the x coordinate of the vertex is given by B/ (2A) In our case the x coordinate is Plugging into the parabola formula for x we can calculate the y coordinate y = 10 * 600 * 600 1 * 600 360 or y = 700Free quadratic equation calculator Solve quadratic equations using factoring, complete the square and the quadratic formula stepbystepFree math problem solver answers your algebra, geometry, trigonometry, calculus, and statistics homework questions with stepbystep explanations, just like a math tutor
33a Let R be the region bounded by y=x^(2), x=1, and y=0 Use the shell method to find the volume of the solid generated when R is revolved about the line x=−7 b Let R be the region bounded by y=x^(2), x=1, and y=0 Use the shell method to find the volume of the solid generated when R is revolved about the line y=1You can put this solution on YOUR website!May 12, 21 · Factoring with special forms is a process of using identities to help with different factoring problems Factoring binomials of the form


Answered 4 1 32 F T 2 I 1 O 33 Bartleby


Warm Up Write An Equation For The Circle That Has Center 5 0 And Radius 6 Units A X2 Y 5 2 36 B X2 Y 5 2 36 C X 5 2 Y2 36 Ppt Download
And since the sum is negative, the negative number must have the greater absolute valueExplain what the domain and range represent Do all of the values make sense in this situation?V36 x2 y2 dA where R (x, y)x2y s 36, x 2 o 10 points SCalcET8 Evaluate the given integral by changing to polar coordinates IL (4xy) dA, where R is the region in the first quadrant enclosed by the circle x2 y24 and the lines x = 0 and y


If X 2 36 Y 2 64 1 Represents A Hyperbola Then F


Solved Question 5 6 6 What Is The Equation Of The Circle Chegg Com
Thanks for the A Notice that mathx=y/math is not a solution since the second equation would imply mathx^2=y^2=8/math which in turn implies mathx^2y^2=16/math contradicting the first equation's assertion that this sum is math/mJun 04, 16 · Find factors of 6, then add them up individually to find the ones that add to 1 and you'll get to (x3)(x2) Let's start with the original x^2x6 The way to factor something is to 2 numbers that will add up to 1 but multiply to 6 To do that, let's think about what we need to multiply to get to 6 and that is (I'll put them in a list) (1*6), (1*6), (2*3), (2*3) If we addFree math problem solver answers your algebra, geometry, trigonometry, calculus, and statistics homework questions with stepbystep explanations, just like a math tutor


Factorlse 25 X Y 2 36 X 2 Y 2


Solution For The Parabola Y X 2 36 Graph Of A Parabola Opening Down At The Vertex 0 36 Crossing The X Axis At 6 0 And 6 0
Dec 15, 16 · Please see below x^2y^2=36 hArr(x0)^2(y0)^2=6^2 This is nothing but locus of a point that moves so that its distance from point (0,0) is always 6 Hence, x^2y^2=36 is equation of a circle with center at (0,0) and radius 6 and accordingly we graph it graph{x^2y^2=36 14, 14,From the table, we see that the desired integers are 4 and 9 Hence, x 2 13x 36 = (x 4) (x 9) 2 Factor x 2 – 5x – 24 We have to find two integers whose product is –24 and whose sum is –5 Since the product is negative, the integers must have opposite signs ( and );For any parabola, Ax2BxC, the x coordinate of the vertex is given by B/ (2A) In our case the x coordinate is Plugging into the parabola formula for x we can calculate the y coordinate y = 10 * 600 * 600 1 * 600 360 or y = 0000


If X 2 A N D Y 1 By Using An Identity Find The Value 4y 2 9x


Answered 3 3x 1 34 F 33 F X 5x X2 36 Bartleby
Apr , 16 · How do you find the zeros, real and imaginary, of #y=x^2 36x 81# using the quadratic formula?Find the X and Y Intercepts y=x^236 Find the xintercepts Tap for more steps To find the xintercept (s), substitute in for and solve for Solve the equation Tap for more steps Rewrite the equation as Add to both sides of the equationY = x^2, x = 1, y = 0;


Najdite Naibolshee Znachenie Funkcii Y 3x 2 36x 36 E X Na Otrezke 1 4 Shkolnye Znaniya Com


Postrojte Grafik Funkcii Y X 4 13x 2 36 X 2 9 Shkolnye Znaniya Com
Solve your math problems using our free math solver with stepbystep solutions Our math solver supports basic math, prealgebra, algebra, trigonometry, calculus and moreGet an answer for 'The parabola has an equation y=x^24x32Determine whether the parabola opens up or down;Function Grapher and Calculator Description All Functions Description Function Grapher is a full featured Graphing Utility that supports graphing up to 5 functions together


Ex 11 3 1 X2 36 Y2 16 1 Find Foci Vertices Eccentricity


Solution A Rectangle Has One Corner On The Graph Of Y 36 X 2 Another At The Origin A 3rd On The Positive Y Axis And The Fourth On The Positive X Axis Express The Area A
You already showed that f (x, y) = x y (x 2 y 2) 4 = x y (1 − x y) 4, which is a quadratic function in x y It remains to find the exact range for x y For which you showed that x y ≥ − 1, equalityConsider the function f(x,y)=2x^3y^4 f(x,y)=2x3y4 on the region {(x,y)x2y2≤36}{(x,y)x2y2≤36} Findthe absolute maximum value and point where that value occursthe absolute minimum value and point where that value occursSolve your math problems using our free math solver with stepbystep solutions Our math solver supports basic math, prealgebra, algebra, trigonometry, calculus and more


Find The Coordinates Of Foci The Vertices Length Of Major And Minor Axes The Eccentricity And The Latus Rectum Of The Ellipse Sarthaks Econnect Largest Online Education Community


Solve 5 Y 2 X 13 6 36 X 24 Y 1 Brainly In
Free equations calculator solve linear, quadratic, polynomial, radical, exponential and logarithmic equations with all the steps Type in any equation to get the solution, steps and graphExplain your conclusion Identify theAlgebra Quadratic Equations and Functions Quadratic Formula 1 Answer Shwetank Mauria Apr , 16 Zeros are #1sqrt3# and #1sqrt3# Explanation Zeros of #y=x^2


Pslv Soln Circles


How Do You Solve X 2 36 12x Socratic
Compute answers using Wolfram's breakthrough technology & knowledgebase, relied on by millions of students & professionals For math, science, nutrition, historyRoot plot for y = x 236x36 Axis of Symmetry (dashed) {x}={1800} Vertex at {x,y} = {1800,0} x Intercepts (Roots) Root 1 at {x,y} = { 103, 000} Root 2 at {x,y} = {3497, 000} Solve Quadratic Equation by Completing The Square 22 Solving x 236x36 = 0 by Completing The Square Subtract 36 from both side of the equationView 6_04 Homework Sheetpdf from HISTORY at Valencia Community College Algebra 2 – v19 Module 604 Assignment 1 Linear equation y=x^236 x


What Is The Area Bounded By The Curves X 2 Y 2 9 And 4x 2 9y 2 36 On The First Quadrant Quora


Find The Centre And Radius Of The Circles X 5 2 Y 3 2 36 Youtube
Free factor calculator Factor quadratic equations stepbystepTiger Algebra gives you not only the answers, but also the complete step by step solution for your Quadratic Equations x2=36 so that you can understand betterFree math problem solver answers your algebra, geometry, trigonometry, calculus, and statistics homework questions with stepbystep explanations, just like a math tutor


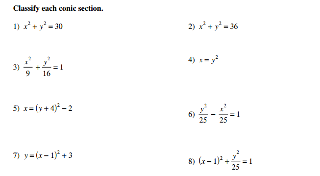
Solved Classify Each Conic Section X 2 Y 2 30 X 2 Chegg Com


Find Value Of 36x 2 49y 2 84xy If X 2 And Y 2 Brainly In
Add '36' to each side of the equation 36 36 x 2 y = 0 36 Combine like terms 36 36 = 0 0 x 2 y = 0 36 x 2 y = 0 36 Combine like terms 0 36 = 36 x 2 y = 36 Divide each side by 'y' x 2 = 36y1 Simplifying x 2 = 36y1 The solution to this equation could not be determined This subproblem is being ignored because a solutionF(6)=0 f( x) = y = (x^236)/(x^3365 x30) or f( x) = ((x6)(x6))/(x^3365 x30) f( 6) = ((66)(66))/((6)^3365 (6)30)=0 f(6)=0 AnsUnformatted text preview 604 Graphing Systems of Nonlinear Equations The equation for this parabola is y=x^236 The equation for this parabola is y = x2 36* What is the domain and range of the rainbow?


Matematika Najdite Tochku Maksimuma Funkcii Y X 3 12x 2 36x 30 Youtube


Factories The Given Statement 25 X Y 2 36 X 2y 2 Please Give The Steps As Well Brainly In
Looking at we can see that the first term is and the last term is where the coefficients are 1 and 36 respectively Now multiply the first coefficient 1 and the last coefficient 36 to get 36 Now what two numbers multiply toLearn how to use the Algebra Calculator to check your answers to algebra problems Example Problem Solve 2x3=15 Check Answer x=6 How to Check Your Answer with Algebra Calculator First go to the Algebra Calculator main page Type the followingAbout the xaxisFind the volume of the solid obtained by rotating theregion bounded by the given curves about the specified line Sket


Ex 11 3 1 X2 36 Y2 16 1 Find Foci Vertices Eccentricity


Reshit Graficheski Sistemu Uravnenij 1 X 2 Y 2 16 Y X 02 X 2 Y 2 36 Y X 2 6 Zaranee Shkolnye Znaniya Com
Compute answers using Wolfram's breakthrough technology & knowledgebase, relied on by millions of students & professionals For math, science, nutrition, historyCompute answers using Wolfram's breakthrough technology & knowledgebase, relied on by millions of students & professionals For math, science, nutrition, historyThe integer solutions of the 2variable equation y(x^2 36) x(y^2 36) (y^2)(y 12) = 0 (Belarus Mathematical Olympiad 00) 15 Konstantine Zelator Download PDF Download Full PDF Package This paper A short summary of this paper 37


Solved X 2 13 Y 2 36 1 X 2 25 1 Y 2 16 6x X 2 Chegg Com


Najti Tochku Maksimuma Funkcii U X 2 36 X Shkolnye Znaniya Com
21 Find the Vertex of y = x 23x36 Parabolas have a highest or a lowest point called the Vertex Our parabola opens up and accordingly has a lowest point (AKA absolute minimum) We know this even before plotting "y" because the coefficient of the first term, 1 , is positive (greater than zero)Solve the system of conic sections Involves the elimination method and a graphical understanding of the solution set


X 4 13x 2 36 X 3 X 2 Y Pri Kakom Y Uravnenie Imeet 1 Koren Shkolnye Znaniya Com


Find The Angle Between The Curve Y 2 4x 4 And Y 2 36


Ppt Algebra Domain Approximately 36 Of Test Which Function Is Shown On The Graph A Y X 2 B Y X 3 C Powerpoint Presentation Id


Plot The Graph Of The Equation X 2 Y 2 36 Andx 2 Y 2 6 Maths Polynomials Meritnation Com


Solved Convert The Equationn X 2 Y 2 36 0 To Polar Form Chegg Com


Ex 11 1 6 Find Centre Radius Of Circle X 5 2 Y 3 2 36


Find The Volume Of Solid Generated By Rotating The Area Bounded By X2 Y2 36 And The Lines X O X 3 About X Axis Mathematics And Statistics Shaalaa Com


Solve 81x2 36 Y2 25 Youtube


Math Lesson 7


Solved Determine The Graph Of The Equation X 2 36 Y 2 Chegg Com


Y X 2 6x 36 X Najdite Naimenshee Znachenie Funkcii Na Otrezke 3 9 Shkolnye Znaniya Com


Solve A Linear Quadratic System By Graphing Ppt Video Online Download


Ex 11 3 5 X2 49 Y2 36 1 Find Foci Eccentricity Ex 11 3


Solved Find The Zeros Y X 5 3x 4 54 X 3 Find The R Chegg Com


How To Solve This Equation X Square 2 Y Square 2 128 And Xy 36 Quora


Check Whether The Followings Represent Function Or Not I X 2 Y


Graph Equations System Of Equations With Step By Step Math Problem Solver


Solved Write The Equation X 2 Y 6 2 36 In Polar Chegg Com


Using Integrals Find The Area Of The Region X Y 9x 2 Y 2 36 And 3x Y 6 Urgent Please Maths Application Of Integrals Meritnation Com


16 X Y 2 36 X Y 2


Evaluate 81 36 X 2 Y 2 25 Brainly Com


10 3 Circles Hubarth Algebra Ii Ppt Download


At What Point Will The Tangent To The Curve Y 2x3 15x2 36x 21 Be Parallel To X Axis Also Find The Equations Of Tangents To The Curve


Find The Area Of The Ellipse X 2 9y 2 36 Using Integration Video


Reshite Sistemu Uravnenij H 2 Xy 36 Xy Y 2 45 Shkolnye Znaniya Com


Solved Consider The Region Bounded By Y X 2 And Y 9 Chegg Com


Two Circles Have The Following Equations X 1 2 Y 4 2 36 And X 5 2 Y 2 2 81 Does One Circle Contain The Other If Not What Is The Greatest


16 X 3 Y 4 Z4 X 2


Solution How Would You Graph X 2 Y 2 36 Thanks


Graph The Ellipse 36x 2 Y 2 36 0 Mathskey Com


Find The Value Of 36 X Square 25 Y Squared Minus 60 X By When X Is Equal To 2 Upon 3 And Y Is Equal Brainly In


Terri Is Analyzing A Circle Y2 X2 36 And A Linear Function G X Will They Intersect Y2 X2 Brainly Com


Ppt Objectives The Learner Will Powerpoint Presentation Free Download Id


Find The Volume Of A Solid Obtained By The Complete Revolution Of The Ellipse X 2 36 Y 2 25 1 About X Axis Mathematics And Statistics Shaalaa Com


16 X 3 Y 4 Z4 X 2


Solve 81x2 36 Y2 25 Youtube


Solved Consider The Following Z X 2 Y 2 Z 36 Y Chegg Com


Hyperbolas Standard 4 9 16 17 Definition Of A Hyperbola Ppt Video Online Descargar


Find The Area Of The Ellipse X 2 9y 2 36 Using Integration Video


Reshenie 651 Postrojte Grafik Funkcii Y X 4 13x 2 36 X 3 X 2


Which Equation Is The Inverse Of Y X2 36 Brainly Com


7 1 Completing The Square Ppt Download


How Do You Find Intercepts


What Is The Equation Of This Circle In Standard Form A X 2 2 Y 3 2 36 B X 2 2 Y 3 2 6 C Brainly Com


Solved 7 8 Points Details Larcalcet7 13 R 004 Find Chegg Com


Solved Consider The Following X 2 Y 2 36 A Find Tw Chegg Com


X 2 Y 2 36 Is A Function Or Not Why Askiitians


Solved 36 Y X2 2x 3 38 Yx 6 37 40 F X 3x2 9x 4 Chegg Com


Solved If X 2 49 Y 2 36 1 And Y 1 5 Find Y Chegg Com


12 7 Solving Nonlinear Systems Warm Up Lesson


Example 4 Graph A Circle The Equation Of A Circle Is X 4 2 Y 2 2 36 Graph The Circle Solution Rewrite The Equation To Find The Center And Ppt Download


Factorise 36 X Y 2 49 X 2y 2 Brainly In


Solution Y 2 36 X 2 4 1 Find The Coordinates Of The Vertices And Foci And The Equations Of The Asymptotes For The Hyperbola And Graph


Solved Geometry A Rectangle Is Bounded By The X A


Solved A Table For Y X 36 Is Given Below Solve Each Chegg Com


How Do You Find The Center And Radius Of The Circle X 2 Y 2 2x 3 0 Socratic


1 2 Algebra C A T External 4


Solved Identify Each Of The Following Surfaces Z X Chegg Com


Solved Where Does The Point 3 5 Lie In The Circle X 2 Y 2 36 Self Study 365


Answered Question 10 W Let C Be The Curve Bartleby


How Do I Graph The Ellipse Represented By X 6 2 36 Y 4 2 16 1 Socratic


Find The Point On The Parabola Y 2 36x At Which The Ordinate Is Three Times The Abscissa Youtube


Reshite Sistemu Uravnenij 2x 2 Y 2 36 8x 2 4y 2 36x Shkolnye Znaniya Com


Y X 2 4x 32 Axis Of Symmetry 2 Vertex 2 36 X Intercepts 4 0 8 0 How Dose The Axis Of Symmetry Relate To Enotes Com


Calameo Solucion Actividades Lunes 30


How To Solve The Simultaneous Equations X 2 Y 2 36 And X 2y 6 Quora


View Question X 2 Y 2 36 Graph Equation Describe The Graph And Its Lines Of Symmetry


Si X 36 0 Cual Es El Valor De X Quora


If X Y 2 Z 2 4 Y Z 2 X 2 9 Z X 2 Y 2 36 What Is


How To Factorize 4x 4 25x 2 36 Quora


Solved Let F X Y X 2 3y 2 And Determine All Points Chegg Com


Postrojte Grafik Funkcii Y X 4 13x 2 36 X 2 4 Shkolnye Znaniya Com


Please Help Asap Terri Is Analyzing A Circle Y 2 X 2 36 And A Linear Function G X Will Brainly Com


0 件のコメント:
コメントを投稿