Yahoo Answers is my favorite site giving me an opportunity to help students and letting me keep in touch with math and physics which are the subjects of my interest Reading the answers of challenging problems given by subject experts adds to my knowledge This blog is a compilation of my selected answers given in YA! 函数y=sin (π/32x)cos2x的周期为,函数y=2cos^2x1的周期为 y=sin (π/32x)cos2x=√3/2 cos2x1/2sin2xcos2x = (√3/21) cos2x1/2sin2x, cos2x 和 sin2x的周期都是π, 所以原函数 周 期是π y=2cos^2x1=(1cos2x)1 = cos2x2, 该 函数周期是πSolve the equation √3 sin2x cos2x = 0 for π≤x≤π No idea how to approach this one Thanks a bunch for the help!
What Is The Integration Of The Root Of 1 Cos2x In The Limit 0 To 0pie Quora
Cos2x-2sinx+3=0
Cos2x-2sinx+3=0- 函数 y=sin2x√ 3cos2x的最小正周期和最大值分别是?函数y=sin2x√ 3cos2x的最小正周期和最大值分别是?Lets say I have to solve cos2x= √ 3/2 So the first thing I have to do is to find √ 3/2 on the unit circle But the problem is there is two different √ 3/2 on the circle The first one is 5pi/6 which if I solve the the equation gives me x= 5pi/12 n*pi



How Do You Find The Limit Of Cos 2x 3 X 2 As X Approaches 0 Socratic
4(sin^22xcos^2x) (2√3)cos2x (√3)2≦0 この不等式を0≦x≦πの範囲で解け 解き方と答えを教えてください sin^22xはsin2xの二乗 cos^2xはcosxの二乗という意味ですCos^2xsin^2x=√3/2 cos2x=√3/2 2x=arccos√3/22πk 2x=π/62πk x= ()π/12πk;k€Z diavinad8 и 4 других пользователей посчитали ответ полезным! sin2x怎么化成sinx : 答案是一样的,只是你的啰嗦了 2x2nπ=x2kπ=>2x=x2 (kn)π因为k和n都是整数,所以 (kn)也是整数,随后结果和2x=x2kπ 一样同理后面的也是 sin 化成 tan : sin2x=2sinx*cosx sinx=1tanx/1tanx Sin2x求导是什么,步骤是什么 : f (g (x))的导
cos2x = √3 /2 2x=30 x=15 x=15, 165, 195, 345 Is this correct? 解:f(x)=cos(2xπ/3)(sinx)^2 =1/2*cos2x√3/2*sin2x(sinx)^2 =1/2*cos2x√3/2*sin2x(1cos2x)/2 =√3/2*sin2x1/2 (1)f(x)最小正周期T=2π/2=πAutumn 2cos2x = √3 cos2x = √3/2 2x = 30°,330° 360n x = 14,165 180n x = 15°,195°,165°,345° You are correct √3 sin2x cos2x = 0 √3 sin2x = cos2x tan2x = 1/√3 tan <
Since, the general solution of any trigonometric equation is given as sin x = sin y, implies x = nπ (– 1) n y, where n ∈ Z cos x = cos y, implies x = 2nπ ± y, where n ∈ ZHeart outlined Спасибо 2相关交流由网友自由分享,本站不储存任何小说书籍,相关资源归权利人所有。 若有事情,请联系电邮 © 笑说网笑说网



1



Otvety Mail Ru Pomogite Reshit Cos 2x 3 2
MULTIPLE CHOICE Choose the one alternative that best completes the statement or answers the question Find all solutions of the equation in the interval 0, 2π) Solve the equation 2cos2x = √3 for 0°≤x≤360° I did this cos2x = √3 /2 2x=30 x=15 x=15, 165, 195, 345 Is this correct? 1 :132人目の素数さん:(土) なんで座標をとるんだよ なんで動径の長さを求めるんだよ なんで、、、



3 2cosx 4sinx Cos2x Sin2x 0 Brainly In



Prove That Cos 2x Cos 2 X Pi 3 Cos 2 X Pi 3 3 2
来自ip的网友咨询 浏览量245 手机版 问题补充: 已知f(sin2分之x)=cosx1,则f(cos2分之x)等于什么Solve the equation √3 sin2x cos2x = 0 for π≤x≤π No idea how to approach this one Thanks a trig sinx = 4/5 and x terminates in Quadrant II Find sin2x and cos2x How to get the answers, which are sin2x = 24/25, cos2x = 7/25? 已知函数f (x)=sin (2xπ/6)sin (2x—π/6)—2cos²x (1)求函数f(x)的值域及最小正周期。 (2)求函数y=f(x)的单调增区间 (1)求函数f(x)的值域及最小正周期。 (2)求函数y=f(x)的单调增区间 #热议# 月薪3000如何养三孩?



Solve The Equation Over The Interval 0 2pi Chegg Com



T 2 0 Q T Q 3 2 Se Y2sin 3x Square Root O Gauthmath
f (x)=x/2 (1/3)Σn=1から3まで (cos^2 (x (nπ/3)) x/21/2の右上がりの直線になりますが半角の公式を使って計算していく以外に解法思いつきますか。 このやり方以外ないでしょうか。 補足の解き方で自分も解きましたが念のため出典を明記します。 東京女子医大Formules de trigonométrie circulaire Soient a,b,p,q,x,y ∈ R (tels que les fonctions soient bien définies) et n ∈ N La parfaite connaissance des graphes des fonctions trigonométriques est cos^2 (x (π/3))cos^2 (x (2π/3))cos^2 (xπ) を出来るだけ簡単な方法で解いてください。 答えは3/2です。 前回読みにくい質問文でしたのにお答えいただきましたspring135さまありがとうございました。 前回も大変助かりました。 いずれでてきそうな疑問点を先に



What Is The General Solution Of Sin 2 X Cos 2x 2 Sin 2x Given That 3cosx Is Not Equal To 2sin X Quora



How Do You Find All The Solutions In The Interval 0 2pi 2 Cos 2 2x 1 0 Socratic
1~函数y=sin(3x60度)cos(x30度)cos(3x60度)cos(x60度)的图像中一条对称轴的方程是()Ax=45度 Bx=225度 Cx=45度 Dx=90度2~将函数y=f(x)的图像沿x轴向右平移60度个单位,在保持图像上的点的纵坐标不变,而横坐标变为原来的2倍,得到的曲线与y=cosx图像相同,则y=f(x)是(可不可以这样考虑:将y=cosx的图像先1923来自ip的网友咨询 浏览量218 手机版 问题补充: 求函数y=sin^2x sinx1的值域已知函数fx=sin (2xπ/6)2cosx^21 (1)求函数fx的单调递增区间 (2) 已知函数fx=sin (2xπ/6)2cosx^21 (1)求函数fx的单调递增区间 (2) 已知函数fx=sin (2xπ/6)2cosx^21 (1)求函数fx的单调递增区间 小黑嘿嘿嘿 1年前 已收到4个回答 我来回答 举报 赞



Pomogite Reshit Cos2x 5 3 2 Shkolnye Znaniya Com



2cos2x Sqrt3 0 Trig Equation With Domain Change Youtube
Correction de l'exercice 38 p 241 (1èreS1) D Trémulot Lycée Jean Pierre Timbaud 28 mars 12 D Trémulot Correction de l'exercice 38 p 241 (1èreS1) 函数fx最大值的定义 _____ 设函数y=f(x)的定义域为I,如果存在实数M满足①对于任意实数x∈I,都有f(x)≤M,②存在x0∈I使得f (x0)=M,那么,我们称函数M 最大值 是函数y=f(x)的最大值函数最大(小)值的几何意义——函数图像的最高(低)点的纵坐标即为该函数的最大(小)值Вы находитесь на странице вопроса "Cos2x=√3\2", категории "математика"Данный вопрос относится к разделу "1011" классовЗдесь вы сможете получить ответ, а также обсудить вопрос с посетителями сайта



Example 29 Prove Cos2 X Cos2 X Pi 3 Cos2 X Pi 3



What Will Be The Integration Of Cos2x 1 2 Quora
ITASP A soma das raízes da equação 3 tgx 3sen2x co2x=0 que pertencem ao intervalo 0,2pi resposta 16∏ /3 Ajudem !!!19 La ecuacio´n cos2x = √ 3 2 tiene como soluciones, en el intervalo (0,π) a) x = π 6, x = 5π 6 b) x = π 12, x = 11π 12 c) x = π 8, x = 7π 8 d) x = π 3, x = 5π 3 El monto total A que se obtiene al cabo de 3 an˜os si se colocan $ a una tasa de inter´es compuesto del 7% anual, se puede calcular con la ecuacio´n a) A 设函数f (x)=cos (2xπ/3)sinx^2,问函数f (x)的最大值和最小正周期。 设A,B,C为三角形的三个内角, 0 tazxoafi 浏览478次 理工学科 分享 举报 若cosB=1/3,f (C/3)=1/4,且C为锐角,求sinA tazxoafi 采纳率: 52% 等级: 12 已帮助: 50 人



Cos 2x Sqrt 3 2 Youtube



4 Sin Theta 1 2 Sin Theta 56 Sin Theta 1 3 Sin Chegg Com
F(x)=sin³xcosxcos³xsinx√3 sin²x =sinxcosx(sin²xcos²x)√3 (1cos2x)/2 =½ sin2x √3 /2 cos2x √3 /2 =sin(2xπ/3) √3 /2f(x) 的递减区间是 2xπ/3∈π/2kπ, 3π/2kπ (k∈Z) 即 x∈5π/12kπ/2, 11π/12kπ/2 (k∈Z)在 0≤x≤π 内的单调递减区间是 x∈5π/12, 11π/12值域是 √3 /2 1, √3 /2 1已知函数fx=sin (2xπ/6)2cosx^21 (1)求函数fx的单调递增区间 (2) 已知函数fx=sin (2xπ/6)2cosx^21 (1)求函数fx的单调递增区间 扫码下载作业帮 拍照搜题一拍即得



Www Tau Ac Il Levant Ode Solution 6 Pdf



Pa Schoolwires Net Cms Lib Pa Centricity Domain 198 Review 6 5 6 6 answer key Pdf



Example 29 Prove Cos2 X Cos2 X Pi 3 Cos2 X Pi 3



Trigonometry Solve Cos 2x 3 Sin X 2 Youtube



1



Prove That Cos2x Cos2 X P 3 Cos 2 X P 3 3 2 Brainly In



Solve Cos X Sqrt 3 2 Youtube



A 2 Sin X Pi 3 3 Cos2x Sin X 3 B Otobrat Korni Na Dannom Promezhutke 2pi Pi 2 Shkolnye Znaniya Com



If Sin X 1 2 And Pi Lt X Lt 3pi 2 Find T



Solve The Trignometric Equation 2 Sin 3x Pi 4 Sqrt 1 8 Sin2x Cos 2x Mathematics Stack Exchange



Mrcheung Weebly Com Uploads 5 5 8 9 Paper 1 Most Likely Questions May 18 Ms Sl Pdf



Solve Trigonometric Equations Questions With Detailed Solutions Grade 12



Example 29 Prove Cos2 X Cos2 X Pi 3 Cos2 X Pi 3



How To Solve 3cos 2x 2root 3 Sinx Cosx 3 Sin 2x 0 Quora



Example 29 Prove Cos2 X Cos2 X Pi 3 Cos2 X Pi 3



Solve The Trigonometric Equation Cos 3x Sin X Sqrt 3 Cos X Sin 3x Mathematics Stack Exchange



Find The Absolute Extrema Of The Function F X 1 2 Chegg Com



How To Solve This Equation Cos 2x Sin 2x 30 Quora



What Is The Limit Of 1 Cosx Cos2x X Quora



Reshite Uravnenie Cos2x Koren Iz 3 2 Pomogite Pozhalujsta Budu Ochen Blagodaren Shkolnye Znaniya Com



Example 25 If Sin X 3 5 Cos Y 12 13 Find Sin X Y



The General Solution Of The Equation 2 Cos 2x 3 2 Cos 2x 4



Finding Slope Of Tangent Line To Y 2 Sin 2 4x 3 Cos 2 2x At The Point X 0 Frac 10 Pi 3 Mathematics Stack Exchange



Statement 1 Lim X 0 Sqrt 1 Cos 2x X Does Not Existe Stat



Find All Solutions If 0 Theta 2 Pi Use Exact Chegg Com



Trigonometry Solve Cos 2x 3 5 Cos X Youtube



I Lim X To Pi 2 1 Cos 2x Pi 2x 2 Br Ii Lim



Solve For X 4 Cos 2 X 3 2 3 1 Cos X Brainly In



The General Solution Of The Equation 2 Cos2x 1 3 2 Sin 2x Is A N Pi N Epsilon I Youtube



What Is The Limit Of 1 Cosx Cos2x X Quora



Solving Trigonometric Equation 2 Cos 2 X 3 Sin X 0 Youtube



Cos2x Cosxu003d0



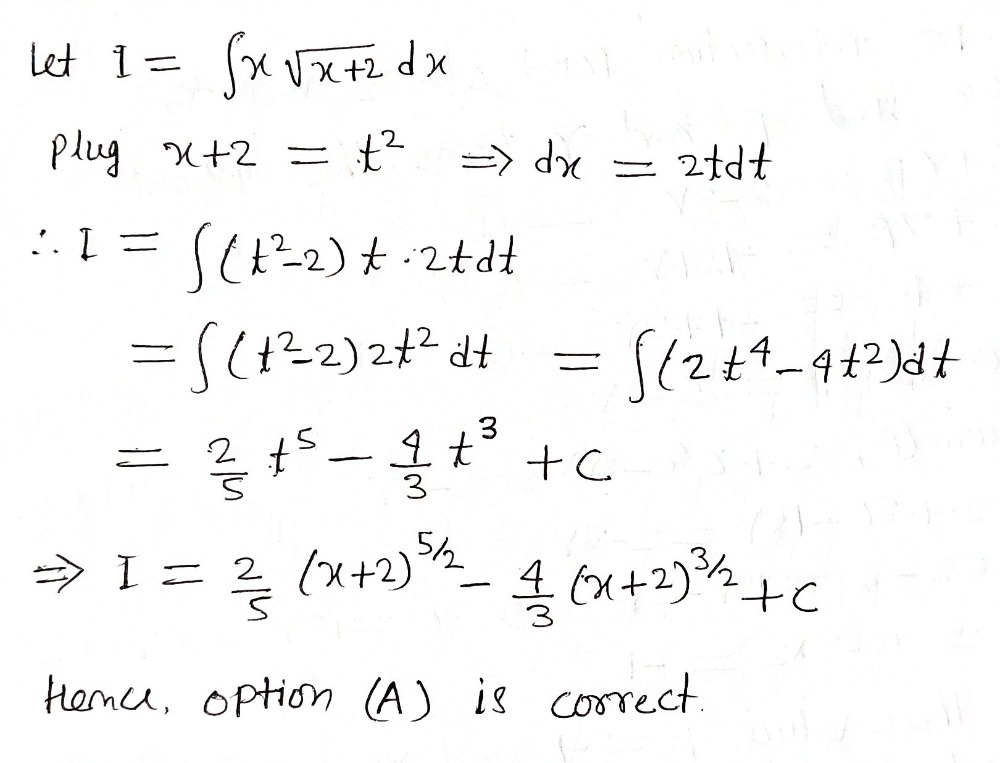
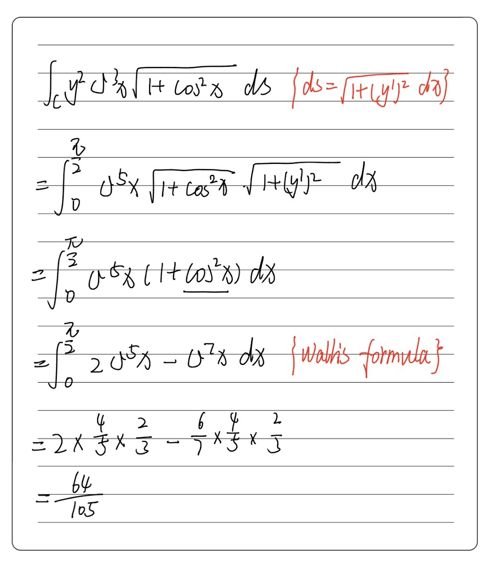
Integrate X 2 Cos 2x Dx



Example 28 If Tan X 3 4 Find Sin X 2 Cos X 2 Tan X 2



What Is The Solution To Sinx Cosx 3 2 Quora



Iit 1991 Find The Limit Of Sqrt 1 Cos2x 2 X As X Tends To 0 Youtube



Find All Solutions Of The Equation In The Interval Chegg Com



Cos 2x 2 Sinx Cosx Sin 2x 3 Square Root Cot 2 Chegg Com



How Do You Find The Limit Of Cos 2x 3 X 2 As X Approaches 0 Socratic



Calculate Sin2x Cos2x And Tan2x For Given Tanx In Quadrant 2 Youtube



The Values Of X 1 Between 0 And 2pi Satisfying The Equati



Section 7 3 Double Angle Half Angle And Sum



How To Solve This Equation Math Sin 2x Sqrt 3 Cos 2x 1 Math Quora



Mrcheung Weebly Com Uploads 5 5 8 9 Paper 1 Most Likely Questions May 18 Ms Sl Pdf



Cos 2 Theta Square Root 3 2 Cos 2 Theta Chegg Com



Ex 3 4 6 Find General Solution Of Cos 3x Cos X Cos 2x 0



Cos 2x Cos X Sin 2x Sin X Sqrt 2 2 Find Chegg Com



Reshite Uravnenie Uprostiv Levuyu Chast A Cos 2x Sin 2x Koren 3 2 B 2 Sin 2x Cos 2x 1 V Shkolnye Znaniya Com



C O S 2 3 Zonealarm Results



Ex 7 2 27 Integrate Root Sin 2x Cos 2x Class 12 Ex 7 2



What Is The Particular Integration Of Differential Equations For D 3 Dx 3 1 Cos 2x 1 Quora



Prove That Int 0 32pi 3 Sqrt 1 Cos2x Dx 22sqrt 2 Sqrt 3 2



If Sin X 5 3 And 0 Lt X Lt P 2 Find The Value Of Sin 2x Cos 2x Tan 2x Brainly In



Cos X Sqrt 3 2 Give The General Formula Solutions Youtube



1



Example 29 Prove Cos2 X Cos2 X Pi 3 Cos2 X Pi 3



How To Solve This Equation Math Sin 2x Sqrt 3 Cos 2x 1 Math Quora



Example 28 If Tan X 3 4 Find Sin X 2 Cos X 2 Tan X 2



Mrcheung Weebly Com Uploads 5 5 8 9 Paper 1 Most Likely Questions May 18 Ms Sl Pdf



Functions Satisfying Differential Equations



Giải Phương Trinh Lượng Giac Cos 2x 30 độ 3 2 Sinx Cosx 1 Toan Học Lớp 11 Bai Tập Toan Học Lớp 11 Giải Bai Tập



Two Methods To Solve Trigonometric Equation 2cos 2x 3sin 2x 0 Youtube



Find All Solutions Of The Equation In The Interval Chegg Com



How To Solve Cosx Sinx Cos2x Sin2x Quora



Pomogite Reshit Cos 2x Pi 3 2 2 Shkolnye Znaniya Com



Solve The Following Equations On The Interval 0 Chegg Com



If Tan X 3 4 And 3pi 2 Lt X Lt 2 Pi Find The V



Solving Trig Inequalities Showcase Exercises



What Is The Integration Of The Root Of 1 Cos2x In The Limit 0 To 0pie Quora






Area Between Two Curves Involving Trig Functions



Solve Cos 2x Sqrt3 2 Youtube



Reshite Pozhalujsta Cos2x 3 Koren Iz 3 Sin 3p 2 X 5 0 2p 7p 2 Shkolnye Znaniya Com



Cos 2x 1 2 Solve For Interval 0 Less Theta Less 2pi Youtube



Find Sin 2x Cos 2x And Tan 2x If Sinx 5 13 And X Terminates In Quadrant I Ala Sin 2x U H Cos Brainly Com



1 Cos2x Dx For X 0 32p 3 Sarthaks Econnect Largest Online Education Community



Solutions To Problems In Chapter One Mathematics



1



D Secxyfc C Smzxy T Cos 2x 15 What Is The Gauthmath



How Do You Solve The Following Equation 4cos 2x 3 0 In The Interval 0 2pi Socratic



Solve Trigonometric Equation Cos2x Cosx 360 To 360 Youtube



How To Solve This Equation Math Sin 2x Sqrt 3 Cos 2x 1 Math Quora



The General Solution Of The Equation 2cos2x 3 2cos 2x 4 Is



Tan X 2 1 Cos 2x 1 Cos 2x Youtube



Solving For Cosine Using Multiple Angles Youtube



Been Stuck For 6 Days No Help Mathskey Com



Prove That Cos 2x Cos 2 X Pi 3 Cos 2 X Pi 3 3 2 Youtube



Using The Pythagorean Trig Identity Video Khan Academy



Cos X Sin X 2 3 Find Sin 2x Double Angle Formula Youtube



Evaluate The Following Integral Cos2x 3 2 Cosx Dx Integral Limit Askiitians


0 件のコメント:
コメントを投稿