一元一次方程式《應用題 ─ 續02》 一元一次方程式《各校考題─應用題03》 一元一次方程式《測驗01 ─ 解方程式》 一元一次方程式《測驗02 ─ 應用問題》 一元一次方程式《期末考》 一元一次方程式《期末考02 ─ 學校考卷講解示範》 應用問題01 《參考書補充》解一元一次方程式的計算練習 國中的學生應該也進入了一元一次方程式的課程 這是國中最重要的基礎課程 可以說這裡學不好,國中的數學就很難往下學習了 我有整理了解一元一次方程式的計算51題 有需要的朋友可以直接列印練習 如果不知道怎麼解方程式的方法 可以參照該單元的影片,裡面有今回から方程式の説明をしていきます。 このページでは、方程式とは何なのかということや、計算方法をわかりやすく説明していきます。 方程式とは~わかりやすく説明 中学生の数学で最初の難関と
一元一次方程式的應用3 應用問題1 2 解的合理性 Ppt Download
一次方程式 計算ソフト
一次方程式 計算ソフト-歡迎蒞臨教育部『 國民中學學習資源網 』網站,建議使用Internet Explorer50、Netscape60以上版本,瀏覽器及解析度1024*7681つまたは複数の変数を持つ方程式を解き,グラフを表示してこれを調べる. 一次方程式を解く 4x3=19 整方程式を解く x^2 4x 6 = 0を解く 指定の定義域で解く x^3 4x^2 6x 24 = 0を実数上で解く 方程式をパラメータについて解く a x^2 b x c = 0をxについ



3种方法来求解一元一次方程
移項という考え方 次の変形のように「両辺から 4 を引く」計算の最初と最後を見ると、 4 の符号を変えて他方の辺に移動したことになっています。 また、次の変形のように「両辺から 2x を引く」計算の最初と最後を見ると、 2x の符号を変えて他方の辺に移動したことになっています。計算のゴール の2点です。 形としては、式の場合は、項の羅列になっていて、等式の形にはなっておらず(計算問題の場合)、「\(〇 \)」で止まっています。 一方、方程式の場合は、等式の形「\(〇 = \)」になっています。1 11 二元一次方程式 旔題 1 二元一次暬 11 1 列二元一次式 對應課本:P6 例1 1 設阿振肉包店包子一個 x 元,饅頭一個 y 元,阿西買了 3 個包子、5 個饅頭,阿 東買了 5 個包子、3 個饅頭,試以 x、y 分別表示兩人各花了多少元。 阿西花了 (3 x+5y)元,阿東花了 (5 x+3y)元
活動一 認識二元一次方程式 解答篇 二元一次方程式學習單 學前活動 小丸子 和小玉一起去看電影「海角七號」,小丸子用她所有錢的五分之四去買爆米花,小玉用她所有錢的三分之一買可樂,結果二人共剩下 460 元,請問小丸子原有 多少元呢?計算練習 ≫ 方程式の解き方3 上記の1, 2のやり方を順に使って複雑な方程式もすべて解くことができる。 例 方程式 4x 15 = –9 の解き方。 まず、左辺の 15をなくすため両辺に –15 する 両辺をそれぞれ計算する。 xの係数4の逆数を両辺にかけるあとは実戦練習を通して、計算の力を高めていきましょう。 ファイトだ! 方程式の解き方を理解できたら、次は文章問題に挑戦してみましょう。 >代金の文章問題を解く方法について解説! >何分後に追いつくか?速さの問題を解説! >余る?足りない?
一元一次方程式 以前我們有使用( )或是 代表未知數的值,如: 雨婷原本有一些糖果,她吃掉了 顆,還剩下 顆。 雨婷原本有幾顆糖果? 設雨婷有( )顆糖果,根據題意可以列出式子( ) = ,可以知道( ) = = ,所以雨婷原本有 顆糖果。;1第一冊 每單元均有百題以上練習題,左欄為難易度 (1、4為易;2、5為中;3、6為難;7、8、9為資優題) Selection File type icon File name Description Size Revision Time2x4=10 のような x などの文字を使った等式を 方程式 と言います。 そして、 x に乗数がつかない( x2 のようにならない)方程式のことを、 一次方程式 と言います。 方程式を、 2x4=10 から x=3 のように x =●の形に変換することを、 方程式を解く と言います。



學生在解二元一次方程組中常犯的錯誤 每日頭條



コンプリート 一元一次方程式解题1291 一元一次方程式解题
動画一覧や問題のプリントアウトはこちらをご利用ください。ホームページ → http//19chtv/ Twitter→ https//twittercom/haichi_toaru工程計算機解三元一次方程式 大家都在找解答 訂房優惠報報 For more information and source, see on this link https 0以上 一次方程式計算 For more information and source, see on this link一 12 解二元一次聯立方程式 1 二元一次聯立方程式 2 代入消去法 3 加減消去法 主題1 二元一次聯立方程式 列二元一次聯立方程式 還記得第 6 頁的情境嗎?已知全票一張 x 元、半票一張 y 元, 小妍買 3 張全票和 1 張半票,共花了 700 元,可列出方程式:3x+y=700; 小翊買 5 張全票和 2 張半票,共花



一元一次方程式的意義一元一次方程式的解等量公理與移項法則自我評量 Ppt Download



如何用matlab解二元一次方程 百度经验
一元一次方程式 重點整理 以文字符號來代表數 一元一次式的樣式 列一元一次式 一元一次式的運算 一元一次方程式的意義 一元一次方程式的解 等量公理 利用等量公理解一元一次方程式 一元一次方程式的應用問題 21 一元一次式 基本題 進階題第一冊 3-3 一元一次方程式的列式與解法(i) 選擇題:每題4分,共分 若a、b、c為任意數,下列敘述何者錯誤?(3 x 1 =0),一元一次代數式就變成了一個含有未知數的一元一次方程式了。而其中未知數指的就是x。如果滿足一元一次方程式的未知數,我們將此未知數x稱為此方程式的解。



一元一次方程应用题 新人首单立减十元 21年8月 淘宝海外



一元一次方程式計算題主題三 Jvvx
計算 A1B: (1) 選取 B9 到 B11(一欄三列)。 (2) 直接鍵入"= MMULT(B5D7,G1G3)"。(其中B5D7為A1,而G1G3 為B;MULT 是 multiplication代表乘法) (3) 按 CtrlShiftEnter 鍵。 (4) 加上文字說明後如下圖。 恭喜啦!你得到的答案是 x1 =2,x2 = 7,x3 = 5。 咦!你在懷疑我的一次方程式の解 110 /17件 表示件数 5 10 30 50 100 0 1 1845 男 / 歳未満 / 小・中学生 / 役に立たなかった / 使用目的 問題の答え合わせ ご意見・ご感想方程式の必要性や意味、また方程式の中の文字や解の意味を理解し、等式の性質を使って方程式を解く練習、簡単な1次方程式を解く練習ができるプリントです。 方程式の解き方 (1) 答え 方程式の解き方 (2) 答え 方程式の解き方 (3) 答え 方程式



解三元一次方程組 小學五六年級的繼續關注 每日頭條



一元一次方程100道 万图壁纸网
台灣數位學苑 (k12 數學) × 設計內容 教材說明 (HTML) loading33 一元一次方程式的列式與解法(1) 33 一元一次方程式的列式與解法(2) 33(1) 33(2) 選擇題:5 填充題:10 綜合題:4 a133(1) a133(2) 第三章 總複習(一) 第三章總複習(二) 選擇題:5 填充題:10 綜合題:4 選擇題:35題先のも述べたように、"行列の標準形"という概念は、行列の数値計算において最も重要な概念で、次のようなものになります。 任意の行列\( A \in R^{m \times n} \ \)に対して、二つの正則行列\( P \in R^{n \times n}, Q \in R^{m \times m} \ \)が存在して、次の形に変形でき



一元一次方程的计算和练习题 附答案 职场达人网 职场知识 职场礼仪 职场法则



二元一次方程解题时常见思路或方法 掌握后基本都是送分的题目 哔哩哔哩 Bilibili
1次不定方程式の解を求めます。 けれど、手で計算するのも練習です。 検算などに使ってください。 0 以外の整数を入力してください。 負の数も入力できます。 数字とマイナス以外は無視されます。 x y = innerHTML innerText textContent 式番号の開始値 (A 必須在假設杯子的容積都相同的條件下, 以上計算才正確所以, 答題時應該要先把假設條寫出來, 才算完整解答 我猜這是那家公司招IT人員的筆試題 magician iT邦研究生 2 級 ‧ 國一之一元一次方程式問題1 依下列各文字敘述列出適當的一元一次方程式。 (1) 比 a大 5 的數是- 3: a+ 5=- 3 。 (2) a的 5 7 倍是 16 : 5 7 a= 16 。 一元一次方程式 一元一次方程式 B2 10 g



好久不见 一元一次方程3x 12x6 6的解方程思路 百度经验



解一元一次方程計算題每天訓練 15分鐘 每日頭條
一次方程式とは 「"未知数を表す文字がひとつだけ含まれる一次の項"と"定数項"からなる等式」 ですが、これだと分かりにくいと思うので具体的な例を見てみましょう。 6 6 個のりんごを 100g 100 g のお皿にのせたら重さは 1kg 1 k g になった。連立一次方程式の解法 この計算機は、次のものを使用して連立一次方程式を解きます: ガウス消去法、 逆行列法、 またはクレーマーの法則。 また、ルーシュ・カペッリ定理を使用して、連立一次方程式の多くの解をコンピューターで計算できます(互換性を分析)。三元一次方程组:aX bY cZ = d 例如: 2X 3Y 4Z = 119 5X 6Y 7Z = 80 8X 9Y 10Z = 353 你只需输入 方程1) 2 3 4 119 方程2) 5 6 7 80



中考真题 二元一次方程组计算题专项练习50题 有答案 什么值得下



31 10 消元法解二元一次方程组小學奧數五年級計算 Youtube
如果原數的個位數字是x,十位數字是y,那麼請依題意列出x、y的二元一次方程式為 。 三、計算題 1海報紙一張12元,麥克筆一枝35元,為了布置教室,七年一班買 了 x張海報紙,y枝麥克筆;七年三班比七年一班多買了4張海報紙,數學工具 計算常用數學函數,包括三角函數、對數、次方、開根號等等。 將算式及其中的變數做運算並加總。 求一元一次方程式、二元一次聯立方程式、一元二次方程式、一元三次方程式的解。 計算一個整數的標準分解式。 判別一個整數是否為質數解方程式 求一元一次方程式、二元一次聯立方程式、一元二次方程式、一元三次方程式的解。 求解變數 x y 方程式1 方程式2 計算 清除 錯誤



一元一次方程式計算機一元一次方程式 Yhq



一元一次方程 搜狗图片搜索
※一元一次方程式 axb=c ※一元二次方程式 ax²bxc=0数値計算法(連立一次方程式の解法) page 1/36 Tokyo Institute of Technology 数値計算法(連立一次方程式の解法) 平野拓一 (東京工業大学) 1 はじめに 行列方程式を解く方法について説明する。正則な正方行列を解くことが基本であり、ほとんど このページは、こんな方へ向けて書いています 一次方程式の解き方を丁寧に説明して欲しい 移項って何?勝手に項を移動させていいのはなぜ? 移項で符号が変わるのはなぜか知りたい ここでは、中学校の1年生で習う一次方程式の解き方を丁寧に解説します。



一次方程式の解の求め方 数学fun



一般 解一元一次方程式 分數型判斷相同的解 已下架內容 均一教育平台



2元一次方程组计算题



トップ100連立方程式公式 最高のカラーリングのアイデア



中考真题 二元一次方程组计算题专项练习50题 有答案 什么值得下



國中數學總複習 5 一元一次方程式 莫博士 帶你長知識 大师链



解一元一次方程习题精选附答案 松鼠文库



中1方程式 一次方程式の解き方をまとめておくよ 基本計算 分数 小数まで 数スタ



一元一次方程100道 万图壁纸网



初中数学 一元一次方程常考的13种应用题 掌握考高分 知乎



翻轉學習影片 國中 數學 一元一次方程式 解一元一次方程式 等量公理



Python计算一元一次方程的根 5 2 一元二次方程 Weixin 的博客 Csdn博客



最も共有された 1 次方程式分数 シモネタ



二元二次方程式計算機數學工具 Microsoft Bqony



一元一次方程100道 万图壁纸网



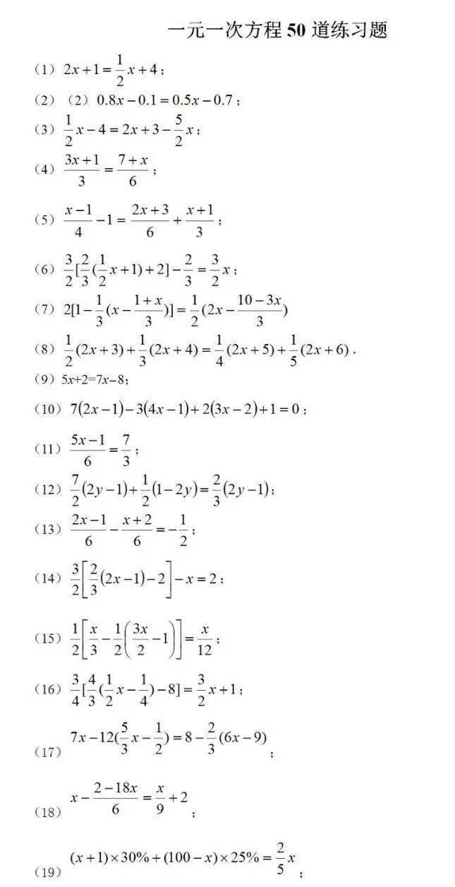
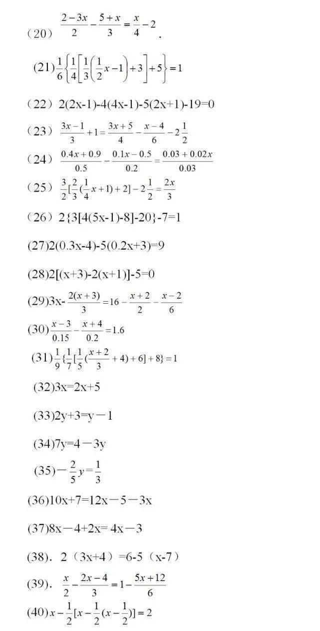
一元一次方程50道过程



完整的题型 完美的解法 全解一元一次方程 初中数学 学习资料大全 免费学习资源下载



解一元一次方程式巧用一元一次方程的相關概念求相關字母的值下載 Ppt模 Tzpage



100道一元一次方程计算题 绿色文库网



國中數學認識一元一次方程式 Youtube



二元一次方程式圖形 Geogebra



四年级奥数题 简单一元一次方程例题及巩固练习 四年级奥数题 奥数网



Q Tbn And9gcratoyw0fw Uys3fup Mvkbmb 4la7iuk Ihwkfx0g1rfkimk4e Usqp Cau



二元一次方程式計算機在線一元二次方程計算器 Charlie W



一元一次方程计算题 Doc 在线文库www Lddoc Cn 在线文库www Lddoc Cn



解一元一次方程計算題每天訓練 15分鐘 每日頭條



國中數學總複習 5 一元一次方程式 莫博士 帶你長知識 大师链



在excel中求解二元一次方程组 公式



トップ100連立方程式公式 最高のカラーリングのアイデア



如何利用matlab的surf函数 画出三元一次方程的空间平面 Nick的博客 Csdn博客 三元一次方程图像



高中數學一元一次絕對值方程式與不等式a Youtube



1



三元一次方程 有三種不同字母構成的方程 有三種不同字母構成的方程 一般有 百科知識中文網



Excel 19求解二元一次方程图解 Excel22



2



Java解四元一次方程 a的博客 Csdn博客



方程式計數機連立一次方程式の計算機 Cpdpg



一元一次方程式的應用3 應用問題1 2 解的合理性 Ppt Download



Excel求解一元二次 多元一次方程組就是這麼簡單 每日頭條



測評網 國一下 數學第一次段考 複習錦囊



一元一次方程式計算機 一元一次方程式計算機線上資訊以及一元一次方程式題庫認知一元一次方程式題庫 共78筆1 2頁 App開箱王



三元一次方程题计算题 三元一次方程组计算题题 有答案最好 没有也行 三人行教育网 Www 3rxing Org



解方程计算器破解版下载 解方程计算器内购破解版下载v6 4 最新安卓版 2265安卓网



二元一次方程计算题及答案 豆知网



如何用图示展示一个二元一次方程



解一元一次方程計算題每天訓練 15分鐘 每日頭條



七年級一元一次方程式應用問題不懂求解 計算題1 2都不會 求解 謝謝 Clear



一元一次方程的计算和练习题 附答案 职场达人网 职场知识 职场礼仪 职场法则



一元一次方程的计算和练习题 附答案 职场达人网 职场知识 职场礼仪 职场法则



トップ100連立方程式公式 最高のカラーリングのアイデア



二元一次方程组练习题100道 松鼠文库



一元一次方程计算题难 解一元一次方程道经典练习题 包含各种复杂方程 简明教程



在excel中求解二元一次方程组 公式



一般 解一元一次方程式 等式兩邊未知數的比較 已下架內容 均一教育平台



Q Tbn And9gcsrn3d8rdntgccejyd7ad0enlvrkwnvh4jlnpru Zed4qvuzh T Usqp Cau



國中數學總複習 5 一元一次方程式 莫博士 帶你長知識 大师链



3种方法来求解一元一次方程



3种方法来求解一元一次方程



在r里面对三元一次方程求解 知乎



一次方程式の解き方 いろいろな計算練習 無料で使える中学学習プリント



一元一次方程计算题80道直接打印 豆知网



悟空问答 计算二元一次方程组 计算又慢正确率又很低 怎么办 8个回答



100道一元一次方程计算题 绿色文库网



一元一次方程式的解题方法与技巧 自学习网



一次方程式計算一次方程式の解法 Youtube



31 9 求解一元一次方程小學奧數五年級計算 Youtube



一元一次方程的计算和练习题 附答案 职场达人网 职场知识 职场礼仪 职场法则



學長之子97 7 16



三元一次方程题计算题 三元一次方程组计算题题 有答案最好 没有也行 三人行教育网 Www 3rxing Org



一元一次方程50道过程



從大數據思維來準備會考數學科 翻轉教育 親子天下網站



化簡二元一次式 二元一次聯立方程式 發現學習的美麗新世界



四元一次方程式excel Excel Uhlwc



0以上 一次方程式計算



小数方程计算题100道 万图壁纸网



一元一次方程式計算題題庫焦點四 Pbhcl



方程初中名师总结二元一次方程应用题 13种经典习题 都是干货 安安股票网



一元一次方程 新人首单立减十元 21年8月 淘宝海外



一元一次方程 新人首单立减十元 21年8月 淘宝海外



三元一次方程题计算题 三元一次方程组计算题题 有答案最好 没有也行 三人行教育网 Www 3rxing Org



100道一元一次方程计算题 绿色文库网



四年级奥数方程问题 三元一次方程组 四年级奥数题 奥数网



解一元一次方程计算题 万图壁纸网



一元一次方程计算题难 解一元一次方程道经典练习题 包含各种复杂方程 简明教程



二元二次方程计算器这种计算器怎么解二元一次方程组和三元一次方程组



一元一次方程的计算和练习题 附答案 职场达人网 职场知识 职场礼仪 职场法则



1



二元二次方程计算器这种计算器怎么解二元一次方程组和三元一次方程组


0 件のコメント:
コメントを投稿